1、使用幂函数的求导知识,计算函数的导数。

2、取对数法计算函数的导数。

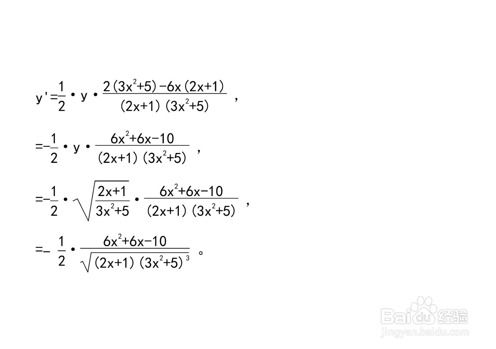
3、取对数法计算函数导数的结果。

4、根据函数极限有关知识,用函数导数的定义,计算函数的导数。

5、使用函数导数定义法计算函数的导数的过程。

6、导数定义法计算函数的结果。

时间:2024-11-26 18:03:48
1、使用幂函数的求导知识,计算函数的导数。

2、取对数法计算函数的导数。

3、取对数法计算函数导数的结果。

4、根据函数极限有关知识,用函数导数的定义,计算函数的导数。

5、使用函数导数定义法计算函数的导数的过程。

6、导数定义法计算函数的结果。
