对数法等计算y=√(2x+1)/(3x^2+1)导数的方法

 时间:2026-02-15 23:27:27

1、多种方法计算函数的导数。

对数法等计算y=√(2x+1)/(3x^2+1)导数的方法

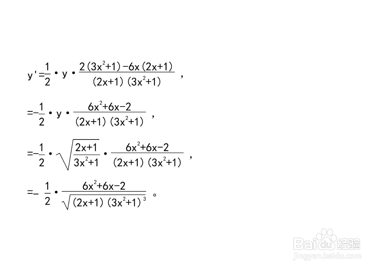
2、根据对数的有关定义,对方程两边同时求导,再用对数导数知识,计算函数的导数。

对数法等计算y=√(2x+1)/(3x^2+1)导数的方法

对数法等计算y=√(2x+1)/(3x^2+1)导数的方法

3

对数法等计算y=√(2x+1)/(3x^2+1)导数的方法

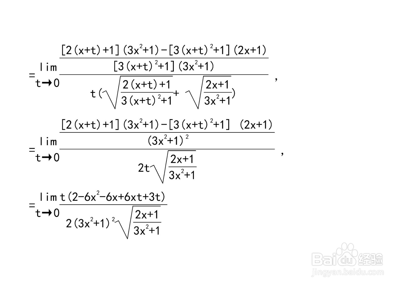
4、根据函数极限有关知识,用函数导数的定义,计算函数的导数。

对数法等计算y=√(2x+1)/(3x^2+1)导数的方法

对数法等计算y=√(2x+1)/(3x^2+1)导数的方法

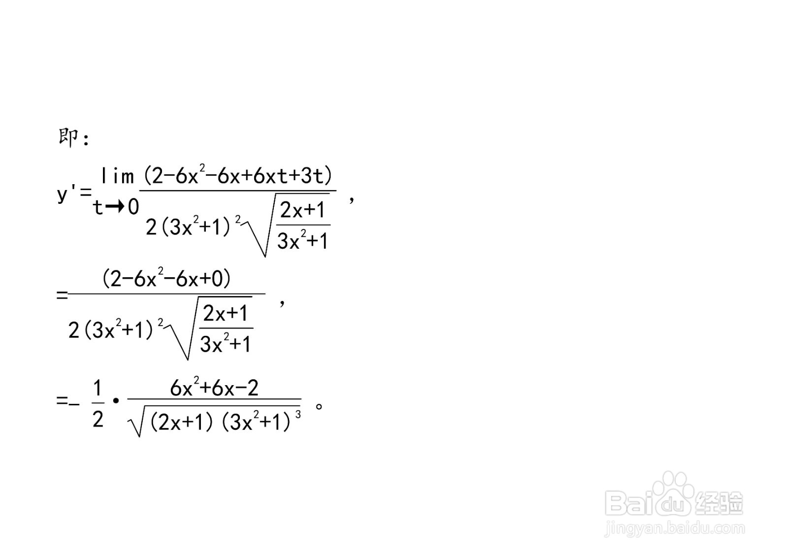
5、导数的定义计算结果。

对数法等计算y=√(2x+1)/(3x^2+1)导数的方法

  • 怎么证明偏导数连续
  • 曲线积分怎样计算?
  • 高等数学:如何用分部积分法求积分?
  • arctan怎么算?
  • 线性相关以及无关的判断?
  • 热门搜索
    简历自我评价怎么写 请柬怎么写 网贷逾期了暂时还不上怎么办 贷款利息怎么算 基金怎么买 周星驰为什么不结婚 生蚝怎么清洗内脏图解 衢州怎么读 发胶怎么用 怎么蒸包子